了解物种的种群趋势和分布范围动态对于全球物种保护至关重要。自人类世以来,随着人类活动强度的持续升级,全球物种遭受了栖息地的急剧丧失和分布范围的缩小。由于大部分原栖息地因人类活动出现各种方式的退化,动物会迁移到新的栖息地以获得更大的生存机会。这种动态的种群分布范围对于物种的生存至关重要,与种群灭绝的概率直接相关。因此,了解种群分布动态变化的机制并识别驱动因素对于预测和指导种群的保护至关重要。
北京时间2023年6月11日 tyc5997太阳集团冉江洪团队在国际权威期刊Global Change Biology上发表题为Giant pandas are losing their edge: Population trend and distribution dynamic drivers of the giant panda的研究论文。通过利用过去30年来大熊猫 (Ailuropoda melanoleuca)的空间分布情况,结合机器学习的Extremely Gradient Boosting算法和 SHapley Additive exPlanations解释模型,揭示了这种作为全球生态保护标志的旗舰物种的种群分布动态驱动因子。

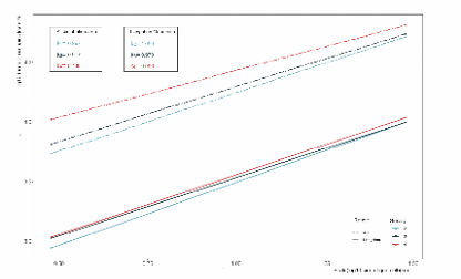
研究表明,作为大熊猫物种应对未来气候变化关键一环的后缘种群,与其它山系的大熊猫种群所表现出来的持续向好趋势不同,凉山山系的大熊猫种群表现出波动的种群趋势,并且表现为较高的种群灭绝风险(图1)。同样不同于其它山系,研究还发现降水的变化量是驱动凉山山系的大熊猫种群分布动态变化的最关键因素(图2)。
后缘种群通常比核心种群面临更大的种群损失和栖息地收缩风险,但通常也具有更强的适应能力。后缘种群所提供的基因多样性在可预见的未来加速的气候变化大背景下对于大熊猫物种存续至关重要。该研究的结果强调了作为大熊猫分布的六大山系中唯一未被纳入大熊猫国家公园范围的凉山山系的大熊猫种群的重要保护地位。表明了气候驱动的生态系统变化的速度和程度在不同地区的异质性。文章提出对现有保护措施进行完善的必要性,对气候避难所的鉴别,保护以及促进跨环境连通的重要性。

图1

图2
tyc5997太阳集团博士研究生李雨航为论文第一作者,tyc5997太阳集团冉江洪教授为论文通讯作者。研究得到了中国国家自然科学基金(资助编号:31970495)的支持,并对所有参与中国大熊猫普查的一线工作人员表示感谢。